FACIAL CONDUCTIVE GEL
Facial Conductive Gel is the perfect ally to ensure optimal conduction during facial aesthetic treatments. Its creamy formula allows smooth gliding of electrodes or probes, ensuring a comfortable and effective professional experience.
Enriched with niacinamide (Vitamin B3), oat extract (with immediate tensing effect), sweet almond oil, and hyaluronic acid, it not only facilitates the treatment but also provides comprehensive action: hydration, nutrition, immediate tensing effect, and regeneration.
Facial Conductive Gel
Performance:
- Optimal conductivity: its creamy texture favors uniform current transmission, improving the effectiveness of the professional treatment.
- Immediate and visible tensing effect: thanks to the high molecular weight of the oat extract and its ability to form a cohesive and elastic network through hydrogen bonds, it adheres to the skin’s surface, creating a continuous and flexible film that provides an immediate lifting effect.
- Nourishing and emollient action: sweet almond oil and jojoba esters provide essential lipids that nourish, soften, and protect the skin during the session.
- Hydrating and plumping effect: hyaluronic acid provides deep hydration, helps maintain elasticity, and visibly plumps the skin.
- Soothing, regenerating, and long-lasting tensing action: oat extract possesses emollient and soothing properties, as well as a prolonged anti-wrinkle effect.
- Illuminating, unifying, and strengthening effect: niacinamide regulates sebum production, strengthens the skin barrier, and stimulates the synthesis of epidermal lipids (ceramides and lipid acids).
- Comfort and glide: non-greasy formula, easy to spread, allowing continuous gliding without interruptions.
Active ingredients
- Niacinamide (Vitamin B3): Strengthens the skin barrier: stimulates the synthesis of ceramides and free lipid acids, reduces transepidermal water loss, and increases the expression of involucrin, filaggrin, and keratin.
Anti-aging action: stimulates collagen synthesis and visibly improves lines and elasticity.
Anti-pollution protection: increases cell viability against pollutant particles and repairs DNA damage induced by pollutants and UV radiation.
- Oat Extract: Immediate tensing effect: high molecular weight molecular network that forms a cohesive, elastic, and continuous film on the skin.
Long-lasting efficacy: after continued use, improvement in smoothness and reduction of wrinkles. - Sweet Almond Oil: rich in vitamin E and essential lipids, it deeply nourishes, improves elasticity, and helps maintain the skin barrier in optimal condition.
- Hyaluronic Acid: capable of retaining up to one thousand times its weight in water, it deeply hydrates, fills superficial wrinkles, and improves skin density and smoothness.
- Jojoba Esters: natural origin ingredients that provide stability to the formula and a creamy, soft, pleasant texture on the skin.
Directions for use:
Apply the required amount to the area of skin to be treated, forming an even layer. Carry out the treatment. At the end of the treatment, remove.
In vitro results
In vitro studies demonstrate that:
Niacinamide:
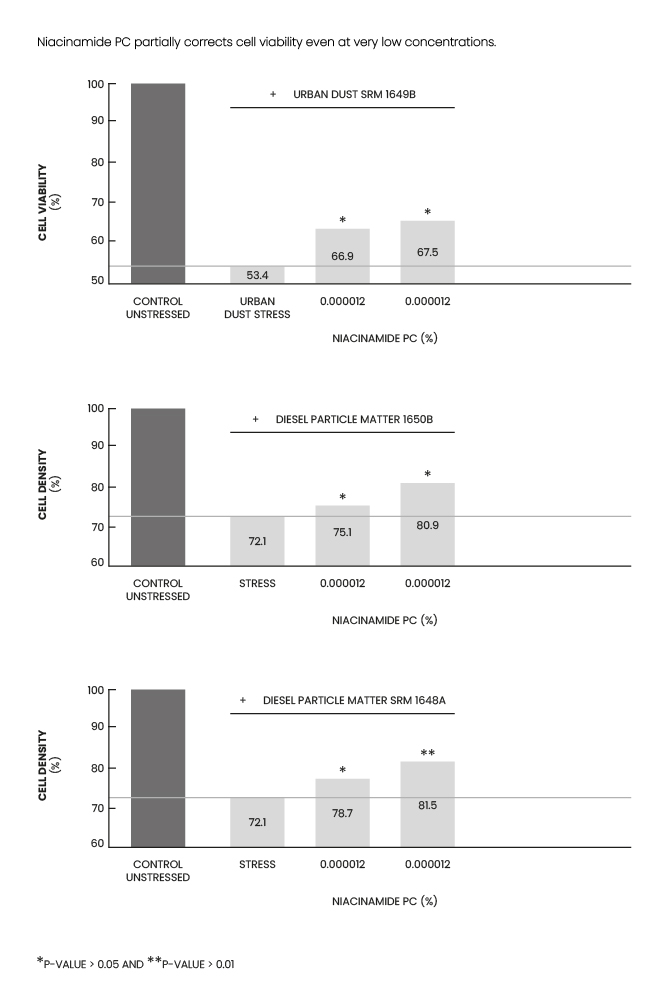
- Anti-pollution protection: in cell cultures exposed to pollutant particles, niacinamide increases cell viability by up to 81% . Furthermore, it enhances the repair of DNA damage induced by arsenic and UV radiation.
- Stimulation of cellular energy production: as a precursor of NAD+, Niacinamide participates in ATP production and in DNA repair mechanisms mediated by PARP.
Oat Extract:
- Tensing film formation: high molecular weight branched polyoses form a cohesive and elastic network through intra- and inter-chain hydrogen bonds, adhering to the skin surface and creating an immediate and visible lifting effect.
IN VIVO RESULTS:
Studies demonstrate that:
Niacinamide:
- Strengthening of the skin barrier: in a study with 12 male volunteers with dry skin, the application of 2% niacinamide for 4 weeks reduced transepidermal water loss (TEWL) by 27% , significantly increasing the levels of ceramides and free fatty acids in the stratum corneum.
Oat Extract:
- Immediate tensing effect: in a sensory study with a trained panel, 86% of the volunteers perceived an immediate tensing effect after applying the product.
- Long-term efficacy: after 1 month of twice-daily treatment, a significant anti-wrinkle action and an improvement in skin firmness were confirmed.
Natural Ingredients
- 97% Skin-friendly ingredients of natural origin:
Sweet Almond Oil, Oat Extract. - 1% Additional ingredients to ensure the stability and safety of the formula:
Phenoxyethanol, Ethylhexylglycerin.
Dermatologically Tested.
All our products

Español

